Caritas-Altenheim Giesenkirchen – Angehörige: „Neubeginn läßt auf sich warten“
Red. Giesenkirchen [19.08.2010 - 15:41 Uhr]
Angekündigt war ein Vortragsabend mit Werner Schell, Pro Pflege – Selbsthilfenetzwerk, zum Thema:
Patienten am Lebensende – was kann ich im Vorfeld tun?
Vorsorgliche Vollmachten und Patientenverfügung am 18. August 2010 im Altenzentrum St. Josef in Mönchengladbach-Giesenkirchen.
Doch es begann zuerst der neuerdings festgesetzte wöchentliche Besprechungsabend mit Angehörigen der Pflegebedürftigen, BetreuerInnen und Ehrenamtlichen.
Diesen stand die von der Caritas eingesetzte Interims-Heimleitung der Firma Contec als Gesprächspartner zur Verfügung.
In Abwesenheit des kommissarischen Geschäftsführers André Peters entwickelte sich eine muntere Beschwerde-Runde über die Fortschritte im Bereich Hauswirtschaft.
Richard Habo als Berater für die Hauswirtschaft zuständig, hatte alle Mühe die Emotionen der Beschwerdeführenden sachlich zu beantworten und ließ erkennen, es gibt noch jede Menge zu tun.
Es hapert bei der Wäscheversorgung, immer noch fehlen z. B. nach Rückkehr der gewaschenen Wäsche die Hosen von mehreren Schlafanzügen.
„Wie kann das sein“, fragt eine aufgebrachte Angehörige.
Antwort Habo: „Unerklärlich, wir arbeiten an einem neuen System, seitdem ich hier im Haus bin, ist kein kritischer Fall eingetreten.“
Entgegnung der Angehörigen: „ Doch, erst vergangene Woche war es wieder so, es waren keine Hosen der Schlafanzüge da.“
Habo: „ Wir sind hier um Ruhe in diese Abläufe zu bringen, wir sind dabei so etwas aufzunehmen, wir kontrollieren so etwas.“
Bei einer anderen Bewohnerin fehlen die Nachthemden. Habo räumt ein, dass das Thema Wäsche sehr kritisch ist. „Wie eigentlich alle hauswirtschaftlichen Bereiche“, meint Habo.
Die Pflege der Wäsche insgesamt wird bemängelt. Habo verspricht Besserung.
Zu oft benutzte Formulierungen wie: “ Zeitfenster“, „wir werden“, „wir prüfen“, „wir wollen“ klingen wie regelmäßige Ausflüchte.
Auch die Reinigung der Zimmer läßt stark zu wünschen übrig, so einige Anwesende.
„Dies ist ein wunder Punkt, da wird einiges machbar sein“ erklärt Habo.
„Sichtreinigung“ ist plötzlich ein Thema; dabei wird nicht wirklich etwas gereinigt, sondern es schaut jemand ein Zimmer an ob es optisch ordentlich ist, nichts auf dem Boden liegt, denn dann muß nicht wirklich geputzt werden.
Ein Betreuer bittet daran zu denken, dass die Bewohner aus einer äußerst reinlichen Generation sind. Diese haben eine hohe Erwartungshaltung.
Habo zeigt Verständnis, weist aber darauf hin, heute werden ganz andere, effektivere Reinigungsmittel verwendet.
Außerdem müsse alles vom Heimbewohner finanziert werden.
Es stellt sich heraus, der Berater kennt die Reinigungs-Intervalle nicht wirklich.
Auch die Verpflegung ist ein Thema.
Es fehlt an frischem Obst, jeden Abend wird nur Brot und Haferflockensuppe gereicht, erzählt eine Angehörige.
Abhilfe wird versprochen. „Es muß eine Lösung gefunden werden“, und weiter „das ist aufgenommen“, so Habo.
Insgesamt war dies keine kompetente Präsentation der bisherigen Anstrengungen der Fa. Contec.
Nach dieser Gesprächsrunde begann Werner Schell mit seinem interessanten Vortrag,
„Vorsorgliche Vollmachten und Patientenverfügung“.
Schell erklärte in verständlicher Weise die Begriffe:
- Patientenautonomie,
- Patientenverfügung,
- Vorsorgevollmacht,
- Menschenwürde laut Artikel 1 des Grundgesetzes,
- Selbstbestimmung nach Artikel 2 des Grundgesetzes und das notwendige Prozedere.
Auch Nachfragen wurden umfassend beantwortet. Selbst auf Details wurde eingegangen.
Werner Schell erhielt im Gegensatz zu den Vertretern der Firma Contec den verdienten Applaus. Sichtlich zufrieden mit den vorgetragenen Informationen bedankten sich die etwa 30 Zuhörer bei Werner Schell.
Hier einige Links für Interessenten für die Beschaffung von umfassenden Informationen.
Thema Betreuungsrecht: Broschüre Betreuungsrecht
Thema Patientenverfügung: Broschüre Patientenverfügung
Textbausteine einer Patientenverfügung: Textbausteine
Thema Patientenautonomie: Patientenautonomie stärken
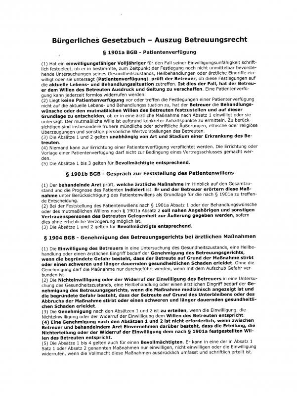
Auszug aus dem Bürgerlichen Gesetzbuch zum Thema Betreuungsrecht.
Und nun noch eine Einladung des Pro Pflege-Selbsthilfenetzwerkes nach Neuss…





























































